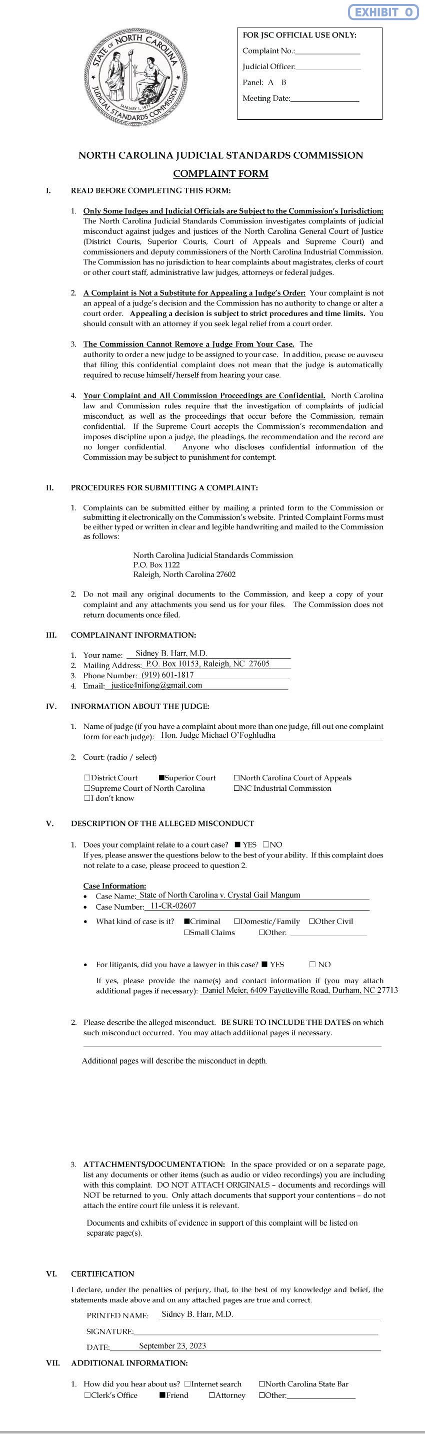
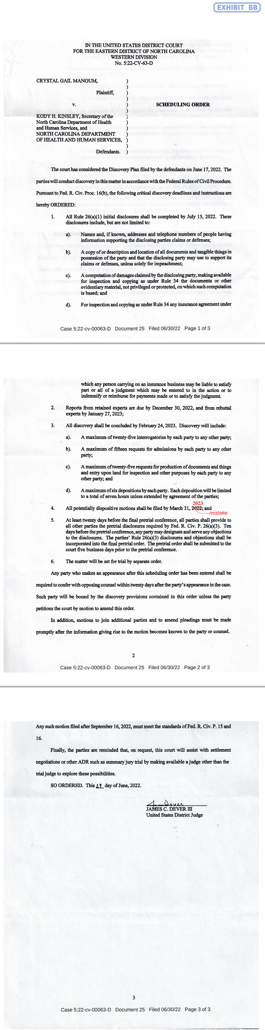
Dr. Harr v. NC Judicial Standards Commission